L'arca olearia
L’importanza del materiale delle bottiglie sulla conservazione dell’olio extravergine di oliva
Un confronto tra latta, PET e vetro per la conservazione dell'olio. Dall’impatto della fotossidazione fino alla perdita di colore
13 marzo 2024 | R. T.
L’olio extravergine di oliva è un prodotto fragile, che va protetto perché possa essere consumato al meglio delle sue caratteristiche sia organolettiche e sia nutrizionali. Le condizioni di conservazione e il materiale in cui viene imbottigliato giocano un ruolo molto importante.
Infatti l'importanza dell'olio d'oliva è dovuta al suo crescente consumo in tutto il mondo per le sue proprietà nutrizionali e sensoriali (soprattutto l'aroma) che rappresentano il risultato di una complessa miscela di composti volatili.
Tuttavia, come altri come altri oli vegetali, è suscettibile all'ossidazione, che è stata riconosciuta come la causa principale del deterioramento dell'olio durante la conservazione. Inoltre, durante la conservazione dell'olio di oliva, l'idrolisi, l'esterificazione e le reazioni ossidative danno origine a cambiamenti, in particolare a una perdita parziale dei costituenti minori, considerati i principali responsabili dei suoi effetti benefici sulla salute.
I componenti minori dell’olio extravergine di oliva possono agire come antiossidanti o pro-ossidanti, e la lavorazione e la conservazione dell'olio influenzano la composizione di questi costituenti minori e di conseguenza la stabilità dell'olio.
Sono stati pubblicati diversi lavori sulla stabilità dell'olio d'oliva, in cui è stato dimostrato che l'imballaggio può influenzare direttamente la qualità dell'olio d'oliva proteggendo il prodotto dall'ossigeno e dalla luce.
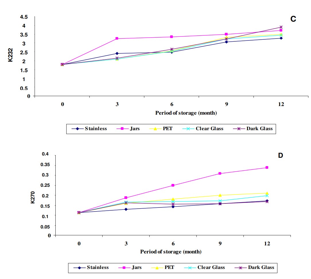
E’ ancora però poco noto che tra i principali aspetti degradativi di conservazione che riguardano l'ossidazione dei grassi, vi è la presenza di metalli in tracce. I radicali reattivi dell'ossigeno attaccano i doppi legami degli acidi grassi insaturi con la formazione iniziale di perossido lipidico. La suscettibilità all'ossidazione è notevolmente aumentata dalla polinsaturazione.
Inoltre, la conservazione influisce sul colore dell'olio, che è una delle caratteristiche qualitative fondamentali dell’olio per i consumatori. Il colore verde-giallastro è dovuto a vari pigmenti, quali clorofille, feofitine e carotenoidi. Tali pigmenti naturali possono influire notevolmente sulla conservazione del prodotto in quanto proossidanti, in sinergia con i metalli eventualmente presenti. In particolare le clorofille e le feofitine, in presenza di luce, agiscono da catalizzatori nella formazione di ossigeno allo stato singoletto e quindi favoriscono le prime fasi del processo di autossidazione.
Per un’ottimale conservazione dell’olio extravergine di oliva occorre quindi scegliere il materiale di stoccaggio più conveniente e oggi, con l’eccezione del bag in box disponibile solo per grandi formati, i materiali utilizzabili sono la latta, il vetro e il PET.
L’importanza del materiale delle bottiglie sulla conservazione dell’olio extravergine di olivaL’importanza del materiale delle bottiglie sulla conservazione dell’olio extravergine di oliva
Ma cosa accade all’olio conservato in questi materiali dopo 12 mesi?
L'olio d'oliva dovrebbe essere conservato in bottiglie non trasparenti alla luce o permeabili all'ossigeno per ridurre al minimo l'ossidazione e il deterioramento durante lo stoccaggio.

Da un punto di vista qualitativo, dunque, la latta, seguita dal vetro e dal PET rappresentano i materiali più adatti per la conservazione, nelle condizioni ideali, quindi in un locale/armadietto buio e a temperature di 15-18 gradi. Vediamo perché.

I parametri più sensibili alla conservazione, come detto, sono soprattutto i pigmenti e i composti fenolici.
L'intensità del contenuto di clorofilla e i livelli di caroteni diminuiscono in tutti i materiali ma in una misura che dipende dalla tipologia di contenitore. Le perdite di clorofilla sono più importanti di quelle di carotenoidi, quindi il colore verde dell’olio si perde più velocemente di quello giallo. La più bassa concentrazione di clorofilla si ha nell'olio conservato in bottiglie in PET. Ovviamente la degradazione dei pigmenti è più rapida per le bottiglie esposte alla luce.

I fenoli diminuiscono con il tempo di conservazione, a seconda delle condizioni di conservazione. I fenoli subiscono modifiche qualitative e quantitative dovute a reazioni di decomposizione e ossidazione. Durante i primi tre mesi di stoccaggio, i fenoli totali subiscono la diminuzione più importante in quantità, specie se l’olio viene conservato in bottiglie trasparenti, dimostrando l’importanza dell’ossidazione luminosa su questi composti.

Quindi il materiale è importante non solo perché capace di preservare l’olio dall’ossigeno ma anche dalla luce. Il PET risulta dunque il peggior materiale per la conservazione dell’olio extra vergine di oliva in quanto permeabile all’ossigeno e non protettivo nei confronti della luce. Meglio le bottiglie in vetri scuro, sebbene non proteggano completamente dalla luce. Infine il miglior materiale è rappresentato dalla latta, purchè fatta di materiale inossidabile, poiché capace di proteggere sia dalla luce sia dall’ossigeno. La maggior vulnerabilità della latta è rappresentata dal materiale, qualora l’inossidabilità sia garantita solo da un film interno (a contatto con l’olio) e le saldature non siano realmente stagne. Oltre a favorire l’ingresso dell’ossigeno, l’eventuale contatto con l’olio di metalli non inossidabili, infatti, oltre a dare potenzialmente il difetto di metallico all’olio, rischiano comunque di favorire l’ossidazione, poiché sono pro-ossidanti.
Potrebbero interessarti
L'arca olearia
Il modello di crescita e di accumulo di olio nelle olive: può crescere fino a dicembre
L'olio appare nelle cellule della polpa alla fine di luglio, quando il frutto è sufficientemente sviluppato e il nocciolo si è già indurito. Il picco di olio si può raggiungere anche a dicembre ma il tasso di accumulo a novembre si abbassa molto
31 ottobre 2025 | 17:45
L'arca olearia
Gli effetti di due tipi di imballaggio sul profilo fenolico e sulle caratteristiche sensoriali dell'olio extravergine di oliva
Gli effetti combinati della durata di conservazione e del confezionamento sul profilo fenolico dell'olio extravergine di oliva in relazione ai suoi attributi sensoriali. I materiali con elevata permeabilità all’ossigeno, come il polipropilene e il polietilene, non sono adatti per la conservazione dell’olio d’oliva
31 ottobre 2025 | 17:15
L'arca olearia
Le caratteristiche nutrizionali, aromatiche e funzionali dell'olio extravergine di oliva da olivo selvatico
La qualità, il profilo fenolico e l'aroma dell'olio d'oliva selvatico evidenziano il suo elevato potenziale per essere utilizzato come preziosa risorsa naturale e alternativa per migliorare la qualità dell'olio extravergine d'oliva
31 ottobre 2025 | 15:00
L'arca olearia
L'impatto di pirofeofitina a e 1,2-diacilgliceroli sulla qualità dell'olio extravergine di oliva e sulla durata di conservazione
Identificati i tratti più impattanti che contribuiscono all'evoluzione di pirofeofitine e diacilgliceroli durante lo stoccaggio in ragione di temperatura e tempo di conservazione per comprendere la loro potenziale correlazione con gli attributi sensoriali
31 ottobre 2025 | 14:00
L'arca olearia
Estratti di foglie di carrubo e buccia di melograno contro la lebbra dell'olivo
Gli estratti naturali ottenuti da carrubo e melograno potrebbero ridurre l’incidenza della lebbra dell'olivo, una delle più importanti malattie dell'oliveto. Un progresso nella ricerca di strategie di controllo sostenibile che riducano l’uso di fungicidi
30 ottobre 2025 | 09:00
L'arca olearia
La potatura dell'olivo non influenza la qualità dell'olio extravergine di oliva
Il momento in cui vengono raccolte le olive, e quindi il loro indice di maturazione, influenza il contenuto di pigmenti clorofilliani, carotenoidi e tocoferoli degli oli, ma anche i polifenoli. L'effetto della potatura o non potatura è trascurabile
29 ottobre 2025 | 17:00